Les essais Matsuo : une approche in situ pour la perméabilité des sols
En quoi consiste l’essai matsuo
L'essai Matsuo, également appelé « essai à la fosse », est un test à charge variable, réalisé dans une fosse creusée à l'aide d'une pelle mécanique, qui permet d'estimer la perméabilité (K) des premiers mètres du sol. Ce paramètre sert, entre autres, aux études de gestion des eaux pluviales, et à la conception des ouvrages d’infiltrations.
👉 Toujours tester sur la configuration finale du terrain pour des mesures réellement exploitables !
Pourquoi choisir l’essai de Matsuo malgré sa complexité de mise en place ?
Lorsqu’il s’agit de mesurer la perméabilité des sols, on retrouve principalement deux essais in situ : Matsuo et Porchet. Chacun a ses avantages et ses contraintes, et le choix dépend avant tout du niveau de précision recherché et des moyens financiers et d’accès au terrain.
Il est manifestement évident que le test Matsuo constitue une option plus fiable et plus représentative que le Porchet pour juger de la perméabilité des sols. Contrairement au test Porchet qui se concentre sur un trou à la tarière, celui-ci évalue l'infiltration sur un volume de sol plus important, permettant ainsi d'obtenir des résultats plus en phase avec la réalité.
Cependant, l’essai de Matsuo va demander beaucoup plus de moyens et de logistique. Contrairement à l’essai de Porchet, réalisable avec une simple tarière et quelques bidons d’eau, l’essai Matsuo va nécessiter de creuser une fosse à l’aide d’une mini-pelle et d’apporter une grande quantité d’eau, souvent via une citerne. Cela va nécessiter un temps de préparation plus long, des intervenants externes supplémentaires et donc plus d’argent.
Dans la pratique, lequel choisir ?
L’essai de Matsuo sera à privilégier pour une évaluation précise détaillée et si la logistique ne vous pose pas de problème.
L’essai de Porchet, plus simple et rapide à mettre en place, sera une alternative efficace pour des tests exploratoires ou pour des sols peu perméables, où une grande précision n’est pas forcément nécessaire.
Principe de l'essai
L’essai Matsuo consiste à mesurer la vitesse de baisse du niveau d’eau dans une fosse rectangulaire remplie d’eau. En suivant cette variation dans le temps, il est possible de calculer la perméabilité du sol et in fine, d’évaluer la capacité d’infiltration du sol en conditions réelles.
Le déroulé générale est le suivant :
- D’abord, on creuse une fosse, généralement d’un mètre de côté et de profondeur.
- Ensuite on remplit la fosse jusqu’en haut et on suit la baisse du niveau d’eau au fil du temps.
- Enfin, on traduit la courbe en perméabilité.
Précautions et limites de l'essai
L’essai Matsuo, bien que ce soit une méthode efficace pour évaluer la perméabilité d’un sol, présente quelques limites :
- En cas de présence de nappe phréatique, cet essai ne pourra pas être réalisé, car l’eau souterraine fausserait les mesures d’infiltration.
- La précision de l’essai dépend de la rigueur du suivi et de la stabilité du sol. Un tassement du fond de la fosse ou un colmatage peut altérer la perméabilité apparente.
- Un seul essai suffit rarement pour caractériser la perméabilité d’un site. Il est recommandé de réaliser plusieurs essais à différents emplacements pour obtenir une évaluation plus fiable.
Matériel nécessaire pour un essai de Matsuo
Pour réaliser un essai de Matsuo dans de bonnes conditions, voici le matériel dont vous aurez besoin :
Équipement de terrassement :
🔲 Mini-pelle avec godet à dents pour creuser la fosse et godet lisse pour le rebouchage.
🔲 Bêche ou pelle pour ajuster les parois et affiner la fosse.
Matériel de mesure :
🔲 Règle limnimétrique (ou autre) pour suivre la baisse du niveau d’eau.
🔲 Chronomètre pour enregistrer les temps d’infiltration.
🔲 GPS (optionnel) pour localiser précisément les points d’essai.
Gestion de l’eau :
🔲 Citerne d’eau (~1000 à 2000 L/essai) pour remplir la fosse ou un point d’eau accessible à proximité.
Relevés et observations :
🔲 Carnet ou fiche terrain pour réaliser une coupe lithologique de la fosse et noter les mesures d’infiltration.
🔲 Téléphone portable pour réaliser les photos.
Déroulement de l’essai de Matsuo
L’essai de Matsuo suit une méthodologie bien définie pour garantir des mesures précises et représentatives de la perméabilité du sol. Les étapes clés sont les suivantes :
1️⃣ Excavation du terrain
- Creuser une fosse plus ou moins de 1 m × 1 m × 1 m à l’aide d’une pelle mécanique.
- Ne pas tasser le fond pour éviter de modifier la structure du sol et fausser les résultats.
2️⃣ Préparation de la fosse
- Nettoyer la fosse pour retirer les débris et homogénéiser les parois.
3️⃣ Coupe lithologique
- Décrire la stratigraphie du sol en observant les parois : texture, couleur, horizons distincts.
- Noter ces observations sur une fiche terrain.
Un exemple de fiche terrain vous est fourni à la fin de cet article.
4️⃣ Documentation
- Prendre des photos de l’installation avant le remplissage.
5️⃣ Mise en eau de la fosse
- Remplir la fosse jusqu’à 5 cm sous le repère de l’échelle de mesure.
- Prendre des photos pendant et après le remplissage.
6️⃣ Lancement de l’essai
- Ajuster le niveau d’eau et mesurer la baisse à intervalles réguliers :
- Toutes les minutes sur les dix première minutes
- Toutes les 10 minutes jusqu’à une heure**.**
- Toutes les 30 minutes jusqu’à la fin de l’essai (4 heures ou fosse vide).
7️⃣ Clôture de l’essai
- Reboucher la fosse avec la terre excavée une fois l’essai terminé.
Interprétation des résultats d'un essai Matsuo
Une fois votre essai terminé, vous rentrez vos données dans votre tableau Excel et obtenez un graphe dans ce style.

Vous allez pouvoir désormais déterminer la perméabilité du sol. Pour ce faire, il faut dans un premier temps visualiser à quoi ressemble la fosse.

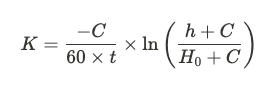
La perméabilité est calculée en se basant sur l’équation suivante :

avec :
- K : Coefficient de perméabilité (m/s)
- C : Coefficient fonction de la géométrie de la fosse
- L et l : Longueur et largeur de la fosse (m)
- H₀ : Hauteur initiale d'eau (m) (ou profondeur P si identique)
- h : Hauteur d'eau à un instant t
- t : Temps écoulé (min)
Avec cette méthode, la perméabilité sera tout d'abord évaluée strate par strate, puis, soit elle sera moyennée sur toute sa hauteur, soit seule une partie (la dernière généralement) de la courbe sera utilisée. L'objectif étant d'éliminer au maximum les variations liées à la saturation du sol, au colmatage ou aux différences de terrain.
Enfin, la perméabilité est comparée aux ordres de grandeur établis par Musy et Soutter pour déterminer si les conditions d’infiltration sont acceptables ou si il faut abandonner l'idée d'infiltrer.

Egalement, afin de vérifier la cohérence des résultats avec la lithologie des sols observée, vous pouvez utiliser le tableau ci-après.

Source des tableaux www.ville.quebec.qc.ca
Fiche terrain :
